Математика http://feelgoodcafe.ru Информационный ресурс по математике. Понятные примеры с объяснениями, готовые ИДЗ, типовые расчеты, контрольные работы по математике Thu, 08 Nov 2018 18:56:41 +0000 ru-RU hourly 1 https://wordpress.org/?v=6.0.11 Основные понятия теории вероятности http://feelgoodcafe.ru/osnovny-e-ponyatiya-teorii-veroyatnosti/ http://feelgoodcafe.ru/osnovny-e-ponyatiya-teorii-veroyatnosti/#respond Thu, 08 Nov 2018 09:03:23 +0000 http://feelgoodcafe.ru/?p=146 Определение вероятности Вероятностью события A называют отношение числа благоприятствующих этому событию исходов к общему числу всех единственно возможных и равно

The post Основные понятия теории вероятности first appeared on Математика.]]>
Определение вероятности

Вероятностью события A называют отношение числа благоприятствующих этому событию исходов к общему числу всех единственно возможных и равно возможных элементарных исходов испытания.

Таким образом, вероятность события A определяется формулой:

Классическая формула определения вероятности

m – число элементарных исходов, благоприятствующих А;
n – число всех возможных элементарных исходов испытания.

The post Основные понятия теории вероятности first appeared on Математика.]]>
http://feelgoodcafe.ru/osnovny-e-ponyatiya-teorii-veroyatnosti/feed/ 0
Исследование функций на подробных примерах http://feelgoodcafe.ru/issledovanie-funktsij-na-podrobny-h-primerah/ http://feelgoodcafe.ru/issledovanie-funktsij-na-podrobny-h-primerah/#comments Thu, 08 Nov 2018 08:33:06 +0000 http://feelgoodcafe.ru/?p=130 В статье рассмотрены примеры заданий по исследованию функций с подробным объяснением. При исследовании будем придерживаться плана, рассмотренного в предыдущей статье

The post Исследование функций на подробных примерах first appeared on Математика.]]>
В статье рассмотрены примеры заданий по исследованию функций с подробным объяснением. При исследовании будем придерживаться плана, рассмотренного в предыдущей статье «Схема полного исследования функции».

Так как все примеры сопровождаются комментариями, давайте договоримся, что курсивом выделены те слова и строки, которые точно нужно написать в ваше исследование функции, а также сами вычисления не забываем.

Пример 1. Провести полное исследование функции

\( y=(1/2)x^4-3x^2+2 \)

The post Исследование функций на подробных примерах first appeared on Математика.]]>
http://feelgoodcafe.ru/issledovanie-funktsij-na-podrobny-h-primerah/feed/ 2
Возведение комплексного числа в степень. Формула Муавра http://feelgoodcafe.ru/vozvedenie-kompleksnogo-chisla-v-stepen-formula-muavra/ http://feelgoodcafe.ru/vozvedenie-kompleksnogo-chisla-v-stepen-formula-muavra/#respond Tue, 06 Nov 2018 19:48:16 +0000 http://feelgoodcafe.ru/?p=132 Рассмотрим случай, когда комплексное число необходимо возвести в степень. Как правило, комплексное число задано в алгебраической форме, к примеру: Необходимо

The post Возведение комплексного числа в степень. Формула Муавра first appeared on Математика.]]>
Рассмотрим случай, когда комплексное число необходимо возвести в степень. Как правило, комплексное число задано в алгебраической форме, к примеру:

комплексное число в алгебраической форме

Необходимо возвести во вторую степень комплексное число z.
Поэтому первым делом избавляемся от алгебраического представления и приводим наше число к тригонометрическому виду:

Комплексное число в тригонометрической форме

Формула Муавра утверждает, что степень

степень комплексного числа

комплексного числа z равна

Применяем формулу Муавра:

применение формулы муавра

По большому счету, что значит возвести комплексное число в степень? Это умножить комплексное число само на себя n раз. На мой взгляд, формулу Муавра целесообразно использовать в случае, когда степень n > 2. В ином случае, когда n = 2, можно поупражняться в умножении комплексных чисел как обычных алгебраических двучленов, рассмотренных в статье ранее. А в целом, эта формула работает для любой степени.

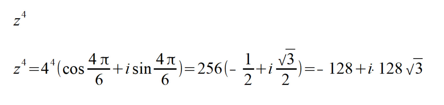
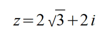
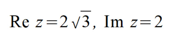
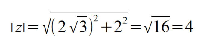
Пример 1. Возвести в четвертую степень комплексное число

комплексное число

Сначала разберем структуру исходного комплексного числа, которое необходимо возвести в степень. Запишем, чему равно значение его действительной и мнимой части:

.значение действительное и мнимое

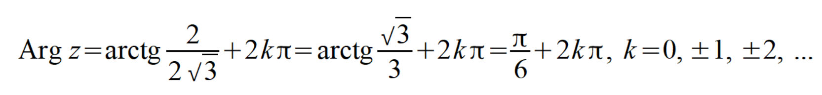
Найдем модуль и аргумент комплексного числа:

модуль и аргумент

Запишем тригонометрическое представление комплексного числа:

Теперь, используя формулу Муавра, найдем

The post Возведение комплексного числа в степень. Формула Муавра first appeared on Математика.]]>
http://feelgoodcafe.ru/vozvedenie-kompleksnogo-chisla-v-stepen-formula-muavra/feed/ 0
Таблица неопределенных интегралов http://feelgoodcafe.ru/tablitsa-neopredelenny-h-integralov/ http://feelgoodcafe.ru/tablitsa-neopredelenny-h-integralov/#respond Mon, 05 Nov 2018 15:24:47 +0000 http://feelgoodcafe.ru/?p=127 Таблица основных интегралов

The post Таблица неопределенных интегралов first appeared on Математика.]]>
Таблица основных интегралов

Таблица основных неопределенных интегралов

The post Таблица неопределенных интегралов first appeared on Математика.]]>
http://feelgoodcafe.ru/tablitsa-neopredelenny-h-integralov/feed/ 0
Решить графическим методом задачу линейного программирования http://feelgoodcafe.ru/reshit-graficheskim-metodom-zadachu-linejnogo-programmirovaniya/ http://feelgoodcafe.ru/reshit-graficheskim-metodom-zadachu-linejnogo-programmirovaniya/#respond Mon, 05 Nov 2018 15:16:55 +0000 http://feelgoodcafe.ru/?p=118 Примеры решения задач линейного программирования из предмета «методы оптимизации» графическим способом. Подробное изучение алгоритма выполнения задачи по поиску оптимального решения

The post Решить графическим методом задачу линейного программирования first appeared on Математика.]]>
Примеры решения задач линейного программирования из предмета «методы оптимизации» графическим способом. Подробное изучение алгоритма выполнения задачи по поиску оптимального решения задачи графическим методом с красочными рисунками и комментариями.

Пример 1. Решить графическим методом задачу линейного программирования z = -2×1 + x2 (max)

Решение:

Решение графическим методом задачи линейного программирования

Пример 2. Решить графическим методом задачу линейного программирования z = -x1 + 4×2 +2×4 +x5 (max)

Решение:

Пример 3. Решить графическим методом задачу линейного программирования z = x1 + x2 (min)

Решение:

The post Решить графическим методом задачу линейного программирования first appeared on Математика.]]>
http://feelgoodcafe.ru/reshit-graficheskim-metodom-zadachu-linejnogo-programmirovaniya/feed/ 0
Решение ЗЛП симплекс-методом (простым) http://feelgoodcafe.ru/reshenie-zlp-simpleks-metodom-prosty-m/ http://feelgoodcafe.ru/reshenie-zlp-simpleks-metodom-prosty-m/#respond Mon, 05 Nov 2018 15:01:21 +0000 http://feelgoodcafe.ru/?p=112 В этой статье рассмотрим примеры решения задач линейного программирования самым простым, обычным симплекс-методом, без применения дополнительных методов, типа искусственного базиса

The post Решение ЗЛП симплекс-методом (простым) first appeared on Математика.]]>
В этой статье рассмотрим примеры решения задач линейного программирования самым простым, обычным симплекс-методом, без применения дополнительных методов, типа искусственного базиса или иных. Как правило, понять, что задача решается обычным симплекс-методом просто, когда после составления матрицы ограничений наблюдается и явно можно выделить единичную матрицу. В таких случаях еще говорят, что решение ЗЛП будем осуществлять при помощи симплекс-метода с естественным базисом.

Подробное теоретическое осмысление данной темы рассмотрим в другой статье, а сейчас перейдем к практическим примерам.

Пример 1. Решить симплекс — методом с естественным базисом задачу линейного программирования z = 5×1 + 2×2 + 3×3(max).

Решение:

решение задачи линейного программирования симплекс-методом с естественным базисом

Пример 2. Решить симплекс — методом задачу линейного программирования z = 5×1 + 2×2 + 5×3(max).

Решение:

решение симплекс-методом задачи линейного программирования

The post Решение ЗЛП симплекс-методом (простым) first appeared on Математика.]]>
http://feelgoodcafe.ru/reshenie-zlp-simpleks-metodom-prosty-m/feed/ 0
Схема полного исследования функции в теории http://feelgoodcafe.ru/shema-polnogo-issledovaniya-funktsii-v-teorii/ http://feelgoodcafe.ru/shema-polnogo-issledovaniya-funktsii-v-teorii/#respond Mon, 05 Nov 2018 14:00:37 +0000 http://feelgoodcafe.ru/?p=110 В статье перечислены основные пункты, по которым принято делать исследование функции. Стать носит теоретический характер, подробно объясняется на «пальцах» что

The post Схема полного исследования функции в теории first appeared on Математика.]]>
В статье перечислены основные пункты, по которым принято делать исследование функции. Стать носит теоретический характер, подробно объясняется на «пальцах» что и как нужно исследовать. Поэтому если вас интересуют практические примеры, то смело можно пропускать прочтение данного текста и переходить к примерам, ссылка в конце статьи.

Полное исследование функции включает в себя следующие пункты:

1. Область определения функции D(y).

Область определения D(y) — это множество всех значений аргумента x, на котором задана функция. Другими словами — это промежуток по оси икс, в пределах которого функция f(x) непрерывна и определена.

К примеру, если функция непрерывна, то ответ таков: D(y) = R, где R — это множество всех значений икс, от минус бесконечности до плюс бесконечности. В ином случае, точка разрыва включается в ответ. Пусть функция неопределена в точке х = 1, тогда область определения исключает данную точку: D(y) = (-00; 1),(1;+00). (-00 и +00 это знак бесконечности).

2. Четность, нечетность, периодичность функции.

Четность или нечетность показывает существует ли симметричность функции относительно начала координат или оси ординат. Чтобы определить четность/нечетность, берем икс со знаком минус, подставляем его в исследуемую функцию f(x) на место обычных иксов и считаем. В случае, если на выходе имеем точно такую же функцию, как исходная, с такими же знаками всех коэффициентов, то говорят, что данная функция четная: Записывается так: y(-x) = y(x). График четной функции симметричен относительно центра координат.

В случае, если на выходе получается исходная функция, но со знаком минус за скобками, то говорят что функция нечетная и записывается это так: y(-x) = -y(x). График нечетной функции, симметричен относительно оси ординат. Существует и третий случай, когда на выходе получается «разношерстная» функция, в которой все знаки перемешались и не помогают никакие манипуляции, чтобы функция стала похожей на исходную или исходную со знаком минус. Тогда говорят, что данная функция ни четная, ни нечетная и она не обладает никакой симметрией.

Свойство периодичности присуще тригонометрическим функциям, оно показывает существует ли период или другими словами некоторый повторяющийся регулярный интервал аргумента, при котором функция сохраняет свои значения при добавлении к аргументу этого периода на всей области определения.

3. Точки пересечения с осями координат ОХ и ОУ.

При пересечении графика функции f(x) с осью икс (ОХ), координата у = 0. Найденные точка(и) будет иметь координаты М1(х;0). При пересечении графика функции f(x) оси игрек (ОУ), координата х = 0, соответственно точка(и) пересечения будет иметь координаты М2(0;y).

4. Поиск вертикальных, наклонных или горизонтальных асимптот.

Традиционно исследование начинается с поиска вертикальных асимптот. В случае, если функция f(x) терпит бесконечный разрыв в какой-либо точке х, то прямая, проведенная через эту точку параллельно оси игрек, будет являться вертикальной асимптотой. Чтобы доказать это, необходимо вычислить пределы от исходной функции f(x) при икс стремящемся к минус и плюс бесконечности (если это возможно) или один из этих пределов. В случае, если хоть в одном из них получится ответ бесконечность, это и будет являться доказательством.

Далее идет поиск наклонных или горизонтальных асимптот. Многие иногда путаются в этих понятиях, считая их независимыми, не связанными друг с другом, что конечно же неверно. Наклонная асимптота имеет уравнение y = kx + b, а горизонтальная — это частный случай наклонной, в котором коэффициент при икс равен нулю (k = 0), ее уравнение y = b. Чтобы найти наклонную асимптоту функции необходимо вычислить два предела:

Если коэффициент k = 0, то при поиске коэффициента b будет рассчитываться предел от функции f(x) и при подстановке в формулу y = kx + b мы получим уравнение горизонтальной асимптоты y = b, т.е. прямую, параллельную оси икс. Если коэффициент k будет равен бесконечности, неважно плюс или минус, в таком случае дальнейшие вычисления не осуществляются, а в ответе записываем, что наклонные асимптоты отсутствуют.

5. Промежутки возрастания и убывания (промежутки монотонности), экстремумы функции.

Промежутки монотонности функции f(x) находятся при помощи первой производной. Алгоритм таков: берем первую производную от f(x), приравниваем результат производной к нулю f ‘(x) = 0, находим корень(корни) данного уравнения x1, x2 и т. д. Таким образом мы получаем экстремумы функции. Далее чертим ось икс и отмечаем на ней закрашенными кружочками найденные корни x1, x2

Нужно помнить, что если функция имеет точки разрыва в области определения, их также необходимо отметить на числовой оси, отмечая пустыми кружочками.

Получаем несколько промежутков, границами которых вперемешку являются точки из корней и точек разрыва, это не страшно, просто нужно будет это учитывать в дальнейшем при оформлении ответа. Далее начинаем исследовать знаки производной на каждом из полученных промежутков. Берем по одному числу из каждого промежутка, подставляем в производную f ‘(x) и отмечаем знаки (плюс или минус), рисуя их прямо над осью в исследуемом промежутке.

Остается самое интересное! Анализируем результаты, изучая каждую точку :

— закрашенная точка, в которой идет смена знаков с плюса на минус ( смотрим слева и справа от точки )- это точка максимума. Под осью икс рисуем стрелочку вверх, там где плюс и стрелочку вниз, там где минус.

— закрашенная точка, в которой идет смена знаков с минуса на плюс — это точка минимума. Также помечаем стрелочками направления вниз и вверх.

— пустая точка (пустой кружок) — это точка разрыва и ее мы не имеем права записать в минимумы или максимумы, в этой точке функция не определена, не существует.

Итак, с экстремумами «рассчитались» и нам остается найти промежутки возрастания и убывания функции, или другими словами — промежутки монотонности. Собственно, здесь все предельно просто: промежутки, в которых стрелочка смотрит вверх это промежутки возрастания функции, где стрелочка вниз — промежутки убывания. Важный момент — учитываем точки разрыва ( незакрашенные точки ), когда записываем ответ.

Если в промежутке (a;b) имеется точка разрыва c (точка с пустым кружочком), то ответ записывается с учетом этой точки: (a;c),(c;b).

6. Промежутки выпуклости и вогнутости, точки перегиба функции.

Чтобы найти промежутки, в которых функция выпукла и вогнута, а также точки перегиба, необходимо найти вторую производную. Вторая производная берется от первой: ( f ‘(x) )’ = f ‘ ‘(x). Далее, как и в предыдущем пункте, приравниваем вторую производную к нулю, находим корни уравнения. Рисуем ось икс, отмечаем найденные корни закрашенными точками, точки разрыва отмечаем пустыми кружочками.

Исследуем знаки второй производной на каждом из промежутков. Там где вторая производная положительна рисуем скобку в виде улыбки, здесь функция вогнута. В ином случае, рисуем унылую скобку, здесь функция выпукла. Соответственно, при записи промежутков вогнутости и выпуклости функции не забываем учитывать точки разрыва. Точки перегиба находим там, где вторая производная меняет свой знак с + на — и наоборот, и точка закрашенная.

7. Построение графика.

Учитывая все предыдущие расчеты и найденные величины — точки разрыва, точки пересечения с осями координат, асимптоты, точки экстремумы, точки перегиба, строим график исследуемой функции. Желательно делать все это на листке в клетку, с масштабом побольше, чтобы как можно точнее получился график функции.

Конечно, сухая теория без практики это не дело, а потому предлагаю перейти к примерам исследования функции с помощью производной.

The post Схема полного исследования функции в теории first appeared on Математика.]]>
http://feelgoodcafe.ru/shema-polnogo-issledovaniya-funktsii-v-teorii/feed/ 0
Решение ЗЛП симплекс методом с искусственным базисом http://feelgoodcafe.ru/reshenie-zlp-simpleks-metodom-s-iskusstvenny-m-bazisom/ http://feelgoodcafe.ru/reshenie-zlp-simpleks-metodom-s-iskusstvenny-m-bazisom/#respond Mon, 05 Nov 2018 13:37:01 +0000 http://feelgoodcafe.ru/?p=101 Симплекс-метод включает в себя целую группу алгоритмов и способов решения задач линейного программирования путём перебора вершин выпуклого многогранника в многомерном

The post Решение ЗЛП симплекс методом с искусственным базисом first appeared on Математика.]]>
Симплекс-метод включает в себя целую группу алгоритмов и способов решения задач линейного программирования путём перебора вершин выпуклого многогранника в многомерном пространстве. Сущность метода: построение базисных решений, на которых монотонно убывает линейный функционал, до ситуации, когда выполняются необходимые условия локальной
оптимальности.

Рассмотрим примеры решения задач линейного программирования симплекс-методом с использованием метода искусственного базиса. Применяется в тех случаях, когда затруднительно найти первоначальный опорный план исходной задачи ЛП, записанной в канонической форме. Новая задача получается из исходной добавлением к левой части системы уравнений в канонической форме исходной ЗЛП таких искусственных единичных векторов с соответствующими неотрицательными искусственными переменными, чтобы вновь полученная матрица содержала систему единичных линейно-независимых векторов. Перейдем к примерам решения.

Пример 1. Решить симплекс — методом задачу линейного программирования z = 12×1 + 5×2 + 3×3(max). Решение задачи приводится с применением искусственного базиса.

Решение:

Решение симплекс - методом задачи линейного программирования с применением искусственного базиса

Пример 2. Решить симплекс — методом с искусственным базисом задачу линейного программирования z = -5×1 + 2×2 + 1×3(min).

Решение:

Решение симплекс - методом с искусственным базисом задачи линейного программирования

 

The post Решение ЗЛП симплекс методом с искусственным базисом first appeared on Математика.]]>
http://feelgoodcafe.ru/reshenie-zlp-simpleks-metodom-s-iskusstvenny-m-bazisom/feed/ 0
Вычислить площадь фигуры, ограниченной линиями http://feelgoodcafe.ru/vy-chislit-ploshhad-figury-ogranichennoj-liniyami/ http://feelgoodcafe.ru/vy-chislit-ploshhad-figury-ogranichennoj-liniyami/#respond Mon, 05 Nov 2018 12:20:31 +0000 http://feelgoodcafe.ru/?p=96 Из данной статьи вы узнаете, как найти площадь фигуры, ограниченной линиями, используя вычисления с помощью интегралов. Впервые с постановкой такой

The post Вычислить площадь фигуры, ограниченной линиями first appeared on Математика.]]>
Из данной статьи вы узнаете, как найти площадь фигуры, ограниченной линиями, используя вычисления с помощью интегралов. Впервые с постановкой такой задачи мы сталкиваемся в старших классах, когда только-только пройдено изучение определенных интегралов и пора приступить к геометрической интерпретации полученных знаний на практике.

Итак, что потребуется для успешного решения задачи по поиску площади фигуры с помощью интегралов:

  • Умение грамотно строить чертежи;
  • Умение решать определенный интеграл с помощью известной формулы Ньютона-Лейбница;
  • Умение «увидеть» более выгодный вариант решения — т.е. понять, как в том или ином случае будет удобнее проводить интегрирование? Вдоль оси икс (OX) или оси игрек (OY)?
  • Ну и куда без корректных вычислений? ) Сюда входит понимание как решать тот иной тип интегралов и правильные численные вычисления.

Алгоритм решения задачи по вычислению площади фигуры, ограниченной линиями:

1. Строим чертеж. Желательно это делать на листке в клетку, с большим масштабом. Подписываем карандашом над каждым графиком название этой функции. Подпись графиков делается исключительно ради удобства дальнейших вычислений. Получив график искомой фигуры, в большинстве случаев будет видно сразу, какие пределы интегрирования будут использованы. Таким образом мы решаем задачу графическим методом. Однако бывает так, что значения пределов дробные или иррациональные. Поэтому, можно сделать дополнительные расчеты, переходим в шагу два.

2. Если явно не заданы пределы интегрирования, то находим точки пересечения графиков друг с другом, и смотрим, совпадает ли наше графическое решение с аналитическим.

3. Далее, необходимо проанализировать чертеж. В зависимости от того, как располагаются графики функций, существуют разные подходы к нахождению площади фигуры. Рассмотрим разные примеры на нахождение площади фигуры при помощи интегралов.

3.1. Самый классический и простой вариант задачи, это когда нужно найти площадь криволинейной трапеции. Что такое криволинейная трапеция? Это плоская фигура, ограниченная осью икс ( у = 0 ), прямыми х = а, х = b и любой кривой, непрерывной на промежутке от a до b. При этом, данная фигура неотрицательна и располагается не ниже оси абсцисс. В этом случае, площадь криволинейной трапеции численно равна определенному интегралу, вычисляемого по формуле Ньютона-Лейбница:

формула ньютона-лейбница

Пример 1. Вычислить площадь фигуры, ограниченной линиями y = x2 — 3x + 3, x = 1, x = 3, y = 0.

Решение:

площадь фигуры ограниченной линиями y=x^2-3x+3, y =0,x=1,x=3Какими линиями ограничена фигура? Имеем параболу y = x2 — 3x + 3, которая располагается над осью ОХ, она неотрицательна, т.к. все точки этой параболы имеют положительные значения. Далее, заданы прямые х = 1 и х = 3, которые пролегают параллельно оси ОУ, являются ограничительными линиями фигуры слева и справа. Ну и у = 0, она же ось икс, которая ограничивает фигуру снизу. Полученная фигура заштрихована, как видно из рисунка слева. В данном случае, можно сразу приступать к решению задачи. Перед нами простой пример криволинейной трапеции, которую далее решаем с помощью формулы Ньютона-Лейбница.

3.2. В предыдущем пункте 3.1 разобран случай, когда криволинейная трапеция расположена над осью икс. Теперь рассмотрим случай, когда условия задачи такие же, за исключением того, что функция пролегает под осью икс. К стандартной формуле Ньютона-Лейбница добавляется минус. Как решать подобную задачу рассмотрим далее.

Пример 2. Вычислить площадь фигуры, ограниченной линиями y = x2 + 6x + 2, x = -4, x = -1, y = 0.

Решение:

В данном примере имеем параболу y = x2 + 6x + 2, которая берет свое начало из-под оси ОХ, прямые х = -4, х = -1, у = 0. Здесь у = 0 ограничивает искомую фигуру сверху. Прямые х = -4 и х = -1 это границы, в пределах которых будет вычисляться определенный интеграл. Принцип решения задачи на поиск площади фигуры практически полностью совпадает с примером номер 1. Единственное различие в том, что заданная функция не положительная, и все также непрерывная на промежутке [-4; -1]. Что значит не положительная? Как видно из рисунка, фигура, которая заключается в рамках заданных иксов имеет исключительно «отрицательные» координаты, что нам и требуется увидеть и помнить при решении задачи. Площадь фигуры ищем по формуле Ньютона-Лейбница, только со знаком минус в начале.

 

Статья не завершена.

The post Вычислить площадь фигуры, ограниченной линиями first appeared on Математика.]]>
http://feelgoodcafe.ru/vy-chislit-ploshhad-figury-ogranichennoj-liniyami/feed/ 0
Что такое комплексное число? Примеры http://feelgoodcafe.ru/chto-takoe-kompleksnoe-chislo-primery/ http://feelgoodcafe.ru/chto-takoe-kompleksnoe-chislo-primery/#respond Mon, 05 Nov 2018 11:02:11 +0000 http://feelgoodcafe.ru/?p=94 Тема «Комплексные числа» зачастую вызывает затруднения у учащихся, а ведь на самом деле в них нет ничего страшного, как может

The post Что такое комплексное число? Примеры first appeared on Математика.]]>
Тема «Комплексные числа» зачастую вызывает затруднения у учащихся, а ведь на самом деле в них нет ничего страшного, как может показаться на первый взгляд.

Итак, сейчас мы разберем и рассмотрим на простых примерах, что такое комплексное число, как обозначается и из чего состоит. Выражение z = a + bi называется комплексным числом. Это единое число, а не сложение.

Пример 1: z = 6 + 4i

Из чего состоит комплексное число?

Комплексное число имеет действительную и мнимую часть в своем составе.

Число a называется действительной частью комплексного числа и обозначается a = Re (z). А вот то, что стоит вместе с буквой i — т.е. число b называется коэффициентом мнимой части комплексного числа и обозначается b = Im (z). Вместе bi образуют мнимую часть комплексного числа.

Нетрудно догадаться и легко запомнить, что сокращение «Re» происходит от слова «Real» — реальная, действительная часть. Соответственно, «Im» является сокращением слова «Imaginary» — мнимая, воображаемая часть.

Пример 2: z = 0,5 + 9i. Здесь действительная часть a = Re (z) = 0,5, а мнимая часть b = Im (z) = 9i

Пример 3: z = -5 + 19i. Здесь действительная часть a = Re (z) = -5, а мнимая часть b = Im (z) = 19.

Чисто мнимое комплексное число

Комплексное число, в котором нет действительной части, т.е. Re (z) = 0, называется чисто мнимым.

Пример 4: z = 2i. Действительная часть отсутствует, a = Re (z) = 0, а мнимая часть b = Im (z) = 2.

Пример 5. z = -8i. Здесь мнимая часть b = Im (z) = -8, действительная часть a = Re (z) = 0.

Сопряженные комплексные числа

Комплексно-сопряженное число обозначается «зэт» с чертой и используется, к примеру, для нахождения частного двух комплексных чисел, проще говоря — для реализации деления чисел. Те, кто сейчас задумался, вам сюда — читать про деление комплексных чисел.

Числа называются комплексно-сопряженными, имеют одинаковые действительные части и различаются лишь знаком мнимых частей. Рассмотрим пример:

Пример 6. Комплексно сопряженным к числу z = 7 + 13i является число .

Мнимая единица комплексного числа

И наконец поговорим про букву i. Та самая буква, которая образует в комплексном числе мнимую составляющую. Даже если перед нами выражение z = 5, это просто значит, что мнимая часть данного числа равна нулю, а действительная равна пяти.

Величина i называется мнимой единицей.

Мнимая единица пригодится при решении квадратных уравнений в случае, когда дискриминант меньше нуля. Мы привыкли считать, что если он отрицательный, решения нет, корней нет. Это не совсем корректно. Корни существуют, просто они комплексные. Но об этом позже. А теперь, переходим к следующей статье по изучению комплексных чисел, узнаем же, как посчитать произведение комплексных чисел.

The post Что такое комплексное число? Примеры first appeared on Математика.]]>
http://feelgoodcafe.ru/chto-takoe-kompleksnoe-chislo-primery/feed/ 0